articles L. 1337-5 à L. 1337-9 et vont d’une amende de
3750 € à une peine d’un an d’emprisonnement et une
amende de 15000 €.
5.2.3 En cas de non-respect du droit du travail
Dans l’exercice de leurs missions dans les centrales
nucléaires, les inspecteurs du travail de l’ASN disposent
de l’ensemble des moyens de contrôle, de décision et de
contrainte des inspecteurs du travail de droit commun.
L’ observation, la mise en demeure, le procès-verbal, le
référé (pour faire cesser sans délai les risques) ou encore
l’arrêt de chantier constituent pour les inspecteurs du
travail de l’ASN une palette de moyens d’incitation et de
contraintes plus large que celle dont disposent les ins-
pecteurs de la sûreté nucléaire ou de la radioprotection.
L’ inspecteur du travail dispose d’un pouvoir spécial de
décision lui permettant de contrôler le pouvoir discipli-
naire de l’employeur, de veiller à l’intérêt général sur le plan
économique et d’exercer un rôle d’arbitre, le cas échéant
par délégation du directeur de la Direction régionale des
entreprises, de la concurrence, de la consommation, du
travail et de l’emploi (Direccte).
5.2.4 Le bilan 2015 en matière de coercition
et de sanction
À la suite des infractions constatées, les inspecteurs de
l’ASN (inspecteurs de la sûreté nucléaire, inspecteurs de
la sûreté du transport de substances radioactives, inspec-
teurs du travail et inspecteurs de la radioprotection) ont
transmis 14 procès-verbaux aux procureurs, dont 3 au
titre de l’inspectiondu travail dans les centrales nucléaires.
L’ ASN a pris huit mesures administratives (mises en
demeure, consignation de sommes…) vis-à-vis des titu-
laires et responsables d’activités nucléaires. En2015, l’ASN
a poursuivi le processus engagé pour la première fois en
2014 de consignationde somme à l’encontre de la société
CIS bio international pour la réalisationde travauxdemaî-
trise du risque incendie (voir chapitre 14).
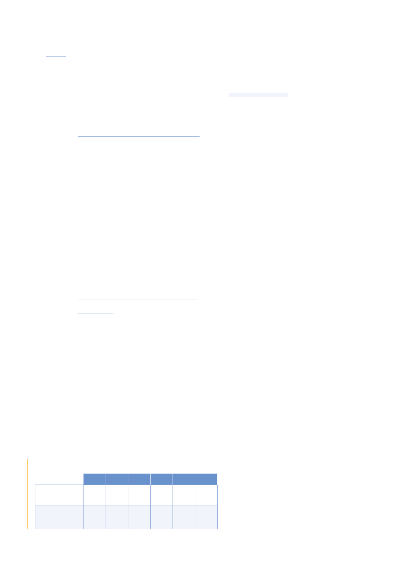
Le tableau 10 indique le nombre de procès-verbaux dres-
sés par les inspecteurs de l’ASN depuis 2010.
6. PERSPECTIVES
En 2016, l’ASN prévoit de réaliser environ 1800 inspec-
tions dans les INB, activités de transport de substances
radioactives, activitésmettant enœuvre des rayonnements
ionisants, organismes et laboratoires qu’elle a agréés et
activités liées aux ESP.
En 2016, l’ASN inspectera prioritairement les activités
à enjeux forts, définies en prenant en compte le retour
d’expérience de l’année 2015.
L’ ASN poursuivra en parallèle la révision des critères et
des modalités de déclaration des événements significa-
tifs, en tenant compte du retour d’expérience du guide
de déclarationdes événements dans le nucléaire de proxi-
mité et les évolutions réglementaires survenues dans le
domaine des INB.
Elle proposera des évolutions de la politique relative aux
sanctions, enapplicationdesdispositionsde la loi du17 août
2015 relative à la transition énergétique pour la croissance
verte et de l’ordonnance n° 2016-128 du 10 février 2016.
Dans le domaine de l’environnement, l’ASN poursui-
vra son travail réglementaire par une modification de
l’arrêté INB afin notamment de prendre en compte les
évolutions réglementaires, telles que l’entrée en vigueur,
depuis le 1
er
juin 2015, de la directive 2012/18/UE du
4 juillet 2012 relative aux accidents majeurs impliquant
des substances dangereuses, dite « Seveso 3 ». Elle achè-
vera également la révision de la décision de l’ASN du
16 juillet 2013, dite « décision environnement », enga-
gée en 2015.
TABLEAU 10 :
nombre de procès-verbaux transmis par les inspecteurs de l’ASN entre 2010 et 2015
2010 2011 2012 2013 2014 2015
PV hors inspection
du travail
en centrale nucléaire
14
27
12
26
15
14
PV inspection
du travail
en centrale nucléaire
4
6
11
10
9
3
160
CHAPITRE 04 :
LE CONTRÔLE DES ACTIVITÉS NUCLÉAIRES ET DES EXPOSITIONS AUX RAYONNEMENTS IONISANTS
Rapport de l’ASN sur l’état de la sûreté nucléaire et de la radioprotection en France en 2015




