•
des institutionnels: l’ASNtient informés le Gouvernement
ainsi que le SGDSN, chargé d’informer le Président de
la République et le Premier ministre ;
•
des organismes de sûreté étrangers.
La fonction d’autorité compétente au sens
des conventions internationales
Le code de l’environnement prévoit que l’ASN assure la
mission d’autorité compétente au titre des conventions
internationales sur la notification rapide et sur l’assistance.
À ce titre, elle réalise le recueil et la synthèse d’informa-
tions en vue d’assurer ou de recevoir les notifications et
transmettre les informations prévues par ces conventions
aux organisations internationales (AIEA et Union euro-
péenne) et aux pays concernés par d’éventuelles consé-
quences sur leur territoire.
2.1.2 L’organisation de l’ASN
S’organiser pour les accidents survenant
sur les INB
L’organisation de crise de l’ASNmise en place en cas d’ac-
cident ou d’incident sur une INB comprend notamment:
•
auplannational, un centre d’urgence situé àMontrouge
et composé de trois postes de commandement (PC) :
-- unPC stratégique constitué par le collège de l’ASNqui
peut être amené à prendre des décisions et imposer à
l’exploitant de l’installation concernée des prescrip-
tions en situation d’urgence;
-- un PC technique (PCT) en relation constante avec
son appui technique l’IRSN ainsi qu’avec le collège
de l’ASN. Il a vocation à prendre des positions pour
conseiller lepréfet, directeur des opérations de secours ;
-- un PC communication (PCC), placé à proximité du
PCT. Le président de l’ASNou son représentant assure
la fonction de porte-parole, distincte de celle du chef
du PCT.
Ce centre d’urgence est régulièrement testé lors des exer-
cices nationaux de crise et est activé en situation réelle, à
l’occasion d’incidents ou d’accidents.
•
au plan local:
-- des représentants de l’ASN auprès du préfet pour
l’appuyer dans ses décisions et ses actions de
communication;
-- des inspecteurs de l’ASNprésents sur le site accidenté.
En 2015, le centre d’urgence national a été gréé lors de
six exercices nationaux, ainsi qu’à trois reprises à la suite
du déclenchement par l’exploitant du plan d’urgence
interne des sites de la centrale nucléaire de Cattenom
le 28 mai 2015, de la centrale nucléaire de Flamanville
dans la nuit du 26 août 2015 et du site en démantèlement
de l’ancienne centrale nucléaire de Brennilis le 23 sep-
tembre 2015. Ces trois situations réelles n’ont donné
lieu à aucun rejet de substances radioactives. Dans les
trois cas, la situation a étémaîtrisée par l’exploitant après
quelques heures, ce qui a conduit l’ASN à l’autoriser à
lever son PUI. Le centre d’urgence de l’ASN a également
été gréé pour plusieurs heures en mode veille, pour un
événement sur la centrale de Flamanville, le 9 octobre
2015 dans la soirée.
L’ ASN est appuyée par une équipe d’analyse au centre
technique de crise (CTC) de l’IRSN.
Le retour d’expérience de l’accident survenu à Fukushima
amène par ailleurs l’ASN à envisager d’envoyer, si néces-
saire, un de ses représentants auprès de l’ambassade de
France dans le pays où surviendrait un accident nucléaire.
Le système d’alerte de l’ASNpermet lamobilisationde ses
agents pour assurer le gréement de son centre d’urgence,
ainsi que des agents de l’IRSN. Ce système automatique
envoie un signal d’alerte aux agents équipés d’un moyen
de réception, dès son déclenchement à distance par l’ex-
ploitant de l’INB à l’origine de l’alerte. Il diffuse également
l’alerte à des agents de la DGSCGC, du Centre opéra-
tionnel de gestion interministérielle des crises (Cogic),
de Météo-France et du Centre ministériel de veille opé-
rationnel et d’alerte duministère de l’Environnement, de
l’Énergie et de la Mer.
Pour améliorer ce dispositif, l’ASN travaille à la mise en
placed’uncadre juridiquepermettant de créer une astreinte.
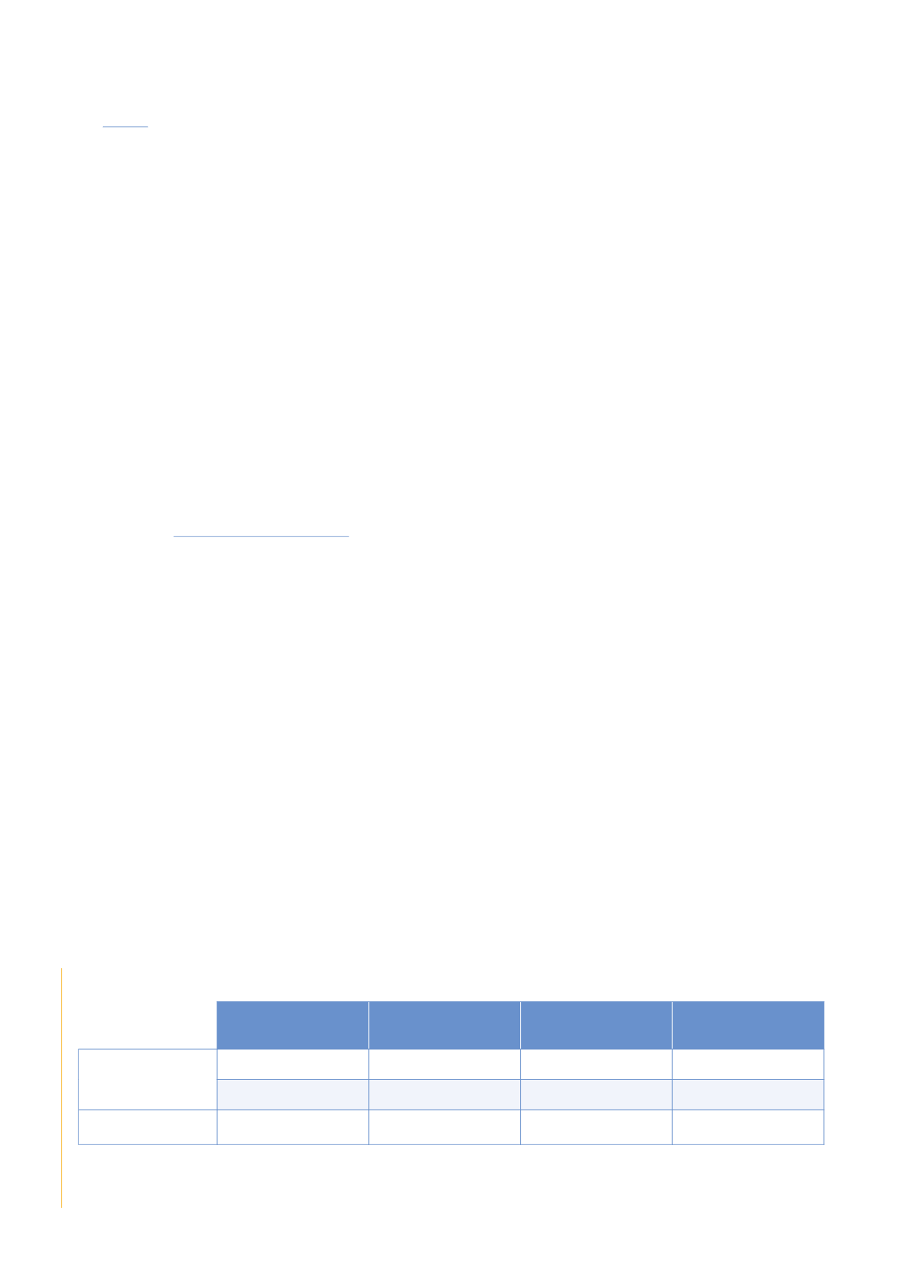
TABLEAU 1 :
positionnement des différents acteurs en situation d’urgence radiologique
DÉCISION
EXPERTISE
INTERVENTION
COMMUNICATION
Pouvoirs publics
Gouvernement (CIC)
Préfet (COD)
/
Préfet (PCO)
Sécurité civile
Préfet (COD)
ASN (PCT)
IRSN (CTC)
Météo-France
IRSN
(cellules mobiles)
ASN
IRSN
Exploitants
Niveau national et local
Niveau national et local
Niveau local
Niveau national et local
CIC: Cellule interministérielle de crise
COD: Centre opérationnel départemental
PCO: Poste de commandement opérationnel
CTC: Centre technique de crise
172
CHAPITRE 05 :
LES SITUATIONS D’URGENCE RADIOLOGIQUE ET POST-ACCIDENTELLES
Rapport de l’ASN sur l’état de la sûreté nucléaire et de la radioprotection en France en 2015




