recherchée. En thérapie (radiothérapie externe, curiethé-
rapie etmédecine nucléaire), l’optimisation consiste à déli-
vrer la dose prescrite au niveau tumoral pour détruire les
cellules cancéreuses, tout en limitant la dose aux tissus
sains au niveau le plus faible possible.
Pour faciliter l’applicationpratique duprincipe d’optimi-
sation, des guides de procédures standardisées de réali-
sation des actes utilisant les rayonnements ionisants ont
été réalisés et sont actualisés régulièrement ou sont en
cours de préparation par les professionnels (tableau 1).
Les niveaux de référence diagnostiques
Les niveaux de référence diagnostiques (NRD) consti-
tuent un des outils de l’optimisation des doses. Prévus
par l’article R. 1333-68 du code de la santé publique, les
NRD sont définis dans l’arrêté du 24 octobre 2011 rela-
tif aux niveaux de référence diagnostiques en radiologie
et en médecine nucléaire. Il s’agit, pour la radiologie, de
valeurs de doses et, pour la médecine nucléaire, d’acti-
vités administrées, qui sont établies pour les examens
les plus courants ou les plus irradiants. La réalisation de
mesures ou de relevés périodiques, selon le type d’exa-
men, doit être effectuée dans chaque service de radiologie
et de médecine nucléaire.
Les contraintes de dose
Dans le domaine de la recherche biomédicale où l’exposi-
tion aux rayonnements ionisants ne présente pas de béné-
fice direct pour les personnes exposées, des contraintes
de dose destinées à optimiser les doses délivrées doivent
être établies par le médecin.
La radiophysique médicale
La sécurité des soins en radiothérapie et lamise enœuvre de
l’optimisation des doses délivrées aux patients en imagerie
médicale font appel à des compétences particulières
dans le domaine de la physique médicale. Le recours
à une personne spécialisée en radiophysique médicale
(PSRPM), précédemment appelée « radiophysicien »,
dont la présence était déjà obligatoire en radiothérapie
et en médecine nucléaire, a été étendu à la radiologie.
Les missions de la PSRPMont été précisées et élargies par
l’arrêté du 19 novembre 2004 modifié. Ainsi, la PSRPM
doit s’assurer que les équipements, les données et pro-
cédés de calcul utilisés pour déterminer et délivrer les
doses et activités administrées au patient, dans toute pro-
cédure d’exposition aux rayonnements ionisants, sont
appropriés; en particulier, en radiothérapie, elle garantit
que la dose de rayonnements reçue par les tissus faisant
l’objet de l’exposition correspond à celle prescrite par le
médecin demandeur.
De plus, elle procède à l’estimation de la dose reçue par le
patient au cours des procédures diagnostiques et contri-
bue à la mise en œuvre de l’assurance qualité, y compris
le contrôle de qualité des dispositifs médicaux.
Des critères transitoires définissant les conditions de pré-
sence des radiophysiciens dans les centres de radiothé-
rapie avaient été définis par décret (décret n° 2009-959
du 29 juillet 2009). Depuis la fin de la période transitoire
(mai 2012), sont désormais applicables les critères définis
par l’Institut national du cancer (INCa), en application
du décret n° 2007-388 du 21 mars 2007, en particulier
celui concernant la présence obligatoire du radiophysi-
cien pendant les séances de traitement.
Depuis 2005, le chef d’établissement doit établir un plan
pour la radiophysiquemédicale, endéfinissant lesmoyens
àmettre enœuvre, notamment en termes d’effectifs compte
tenu des pratiques médicales réalisées dans l’établisse-
ment, du nombre de patients accueillis ou susceptibles
de l’être, des compétences existantes en matière de dosi-
métrie et des moyens mis enœuvre pour l’assurance et le
contrôle de qualité.
Les modalités de formation des PSRPM ont été mises à
jour par les arrêtés du 28 février et du 6 décembre 2011.
La PSRPM, aumême titre que le médecin ou le manipu-
lateur en électroradiologie, peut être désignée par l’em-
ployeur comme PCR au titre du code du travail. Dans
les blocs opératoires où sont utilisés des générateurs de
rayons X, l’optimisation des doses délivrées aux patients,
qui relève de la compétence de la PSRPM, concourt à
l’optimisation des doses délivrées aux professionnels
qui réalisent l’acte.
L’ assurance de la qualité en radiothérapie
Les obligations en matière d’assurance de la qualité des
centres de radiothérapie, prévues à l’article R. 1333-59
du code de la santé publique, ont été précisées par la
décision n° 2008-DC-0103 de l’ASN du 1
er
juillet 2008,
qui porte principalement sur le système de management
SPÉCIALITÉS
RADIOLOGIE MÉDICALE
MÉDECINE NUCLÉAIRE
RADIOTHÉRAPIE
RADIOLOGIE
DENTAIRE
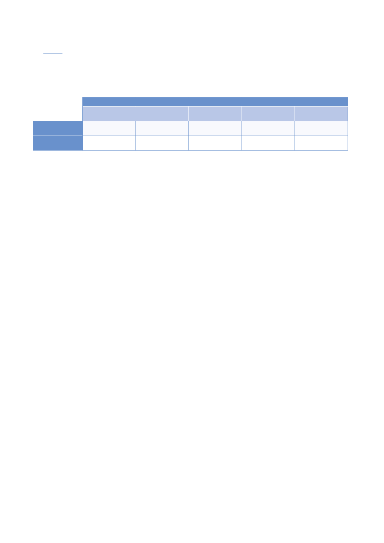
DOCUMENTS
Guide des procédures
Guide des indications
Guide des indications et des
procédures
Guide des procédures
en radiothérapie externe
Guide des indications
et des procédures
DISPONIBILITÉS
www.sfrnet.org www.irsn.org www.sfrnet.org www.irsn.org www.sfmn.org www.sfro.org www.adf.asso.fr www.has-sante.frTABLEAU 1 :
liste des guides des indications et des procédures de réalisation des actes médicaux exposant aux rayonnements ionisants
104
CHAPITRE 03 :
LA RÉGLEMENTATION
Rapport de l’ASN sur l’état de la sûreté nucléaire et de la radioprotection en France en 2015




