En 2015, l’ASN a réalisé 123 contrôles d’organismes et
de laboratoires agréés, dont 50 % de façon inopinée, qui
se répartissent de la façon suivante :
•
76 contrôles des organismes réalisant des contrôles tech-
niques de radioprotection;
•
28 contrôles des organismes réalisant des évaluations
de la conformité d’ESPN et des actions de contrôle des
équipements en service;
•
8contrôles des organismes réalisant lamesurede l’activité
volumique du radon;
•
11 contrôles des laboratoires agréés pour les mesures
de la radioactivité de l’environnement.
3.2.8 Le contrôle des expositions au radon
et aux rayonnements naturels
L’ASNexerce également un contrôle de la radioprotection
dans des lieux où l’exposition des personnes aux rayon-
nements naturels peut être renforcée du fait du contexte
géologique sous-jacent (radon dans les lieux recevant du
public) oudes caractéristiques desmatériaux utilisés dans
les procédés industriels (industries non nucléaires).
Contrôler les expositions au radon
L’article R. 1333-15 du code la santé publique et l’article
R. 4451-136du code du travail prévoient que lesmesures
de l’activité volumique du radon sont réalisées soit par
l’IRSN, soit par des organismes agréés par l’ASN.
Ces mesures sont à effectuer entre le 15 septembre de
l’année N et le 30 avril de l’année suivante.
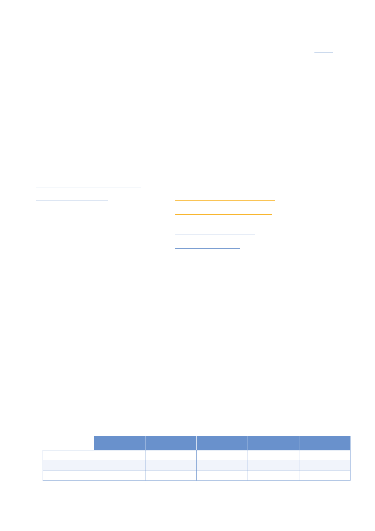
Pour la campagne demesures 2015-2016, le nombre d’or-
ganismes agréés est indiqué dans le tableau 5.
Contrôler les expositions aux rayonnements
naturels dans l’industrie non nucléaire
L’arrêté du 25 mai 2005 a défini la liste des activités pro-
fessionnelles (industries de traitement de minerais ou de
terres rares, établissements thermaux et installations de trai-
tement d’eaux souterraines destinées à la consommation)
pour lesquelles doit êtremise enplace une surveillance de
l’exposition des personnes aux rayonnements ionisants
d’origine naturelle, en raison du fait que les matériaux
utilisés contiennent des radionucléides naturels et sont
susceptibles de générer des doses significatives du point
de vue de la radioprotection.
Contrôler la radioactivité naturelle des eaux
de consommation
Le contrôlede la radioactiviténaturelledes eauxde consom-
mationest exercépar lesARS. Lesmodalités de ces contrôles
tiennent compte des recommandations émises par l’ASN
et reprises dans la circulaire de la DGS du 13 juin 2008.
Les résultats des contrôles sont conjointement exploités
par l’ASN et les services du ministère chargé de la santé.
3.3 Les enseignements tirés
des événements significatifs
3.3.1 La démarche de détection
et d’analyse des anomalies
Historique
Les conventions internationales ratifiées par la France
(article 9v de la convention commune sur la sûreté de
la gestion du combustible usé et sur la sûreté de la ges-
tion des déchets radioactifs du 5 septembre 1997; article
19vi de la convention sur la sûreté nucléaire du 20 sep-
tembre 1994) imposent aux exploitants d’INB, au titre de
la défense en profondeur, demettre enœuvre un système
fiable de détectionprécoce et de déclarationdes anomalies
qui peuvent survenir, telles que des défaillances dematé-
riels oudes erreurs d’applicationdes règles d’exploitation.
Forte d’une expérience de vingt ans, l’ASN a jugé utile de
transposer à la radioprotection et à la protection de l’envi-
ronnement cette démarche, initialement limitée à la sûreté
nucléaire. À cet effet, l’ASNa élaboré deux guides qui défi-
nissent lesprincipes et rappellent les obligationsdes exploi-
tants enmatière de déclaration des incidents et accidents:
•
le guide n° 12 du 21 octobre 2005 regroupe les dispo-
sitions applicables aux exploitants d’INB et aux res-
ponsables de transports. Il concerne les événements
significatifs qui intéressent la sûreté nucléaire des INB,
TABLEAU 5 :
nombre d’organismes agréés pour la mesure du radon
AGRÉMENT JUSQU’AU
15 SEPTEMBRE 2016
AGRÉMENT JUSQU’AU
15 SEPTEMBRE 2017
AGRÉMENT JUSQU’AU
15 SEPTEMBRE 2018
AGRÉMENT JUSQU’AU
15 SEPTEMBRE 2019
AGRÉMENT JUSQU’AU
15 SEPTEMBRE 2020
Niveau 1 option A*
25
10
1
5
9
Niveau 1 option B**
4
5
0
0
1
Niveau 2***
6
1
0
0
1
* Lieux de travail et lieux ouverts au public pour tout type de bâtiment
** Lieux de travail, cavités et ouvrages souterrains (hors bâtiment)
*** Correspond aux investigations complémentaires
143
CHAPITRE 04 :
LE CONTRÔLE DES ACTIVITÉS NUCLÉAIRES ET DES EXPOSITIONS AUX RAYONNEMENTS IONISANTS
Rapport de l’ASN sur l’état de la sûreté nucléaire et de la radioprotection en France en 2015




